BK01.sepade.pain.008.001.01.00
 
Start Structure Guideline Components
 
Go back Previous
 
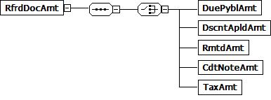
   Element RfrdDocAmt
 
 
Diagram
   Dokumentation
 
 
   Technische Eigenschaften
 
   Typ
   ReferredDocumentAmount1Choice
   Häufigkeit
   0 .. unbounded
 
 
Top Previous Next/Continue
 
BK01.sepade.pain.008.001.01.00 Ausgabedatum:   13.03.2008 Druckdatum:  01.09.2011
Generated by GEFEG.FX