BK01
 
Start Structure Guideline Components
 
Go back Previous
 
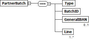
   Element PartnerBatch
 
 
Diagram
   Dokumentation
 
 
   Technische Eigenschaften
 
   Typ
   PartnerSpecificationChangeBatchType
   Häufigkeit
   1 .. unbounded
 
 
Top Previous Next/Continue
 
BK01 Ausgabedatum:   19.10.2004 Druckdatum:  17.11.2015
Generated by GEFEG.FX